Упр.202 ГДЗ Зубарева Мордкович 6 класс ФГОС (Математика)
Решение #1

Рассмотрим вариант решения задания из учебника Зубарева, Мордкович 6 класс, Мнемозина:
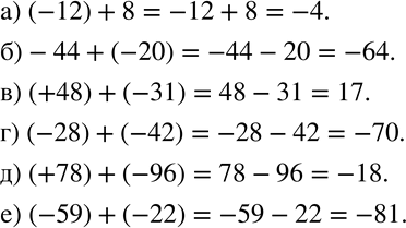
202. Запишите выражение без скобок и найдите его значение:
а) (-12)+8;
б)-44+(-20);
в) (+48)+(-31);
г) (-28)+(-42);
д) (+78)+(-96);
е) (-59)+(-22).
*размещая тексты в комментариях ниже, вы автоматически соглашаетесь с пользовательским соглашением