Упр.241 ГДЗ Зубарева Мордкович 6 класс ФГОС (Математика)
Решение #1

Рассмотрим вариант решения задания из учебника Зубарева, Мордкович 6 класс, Мнемозина:
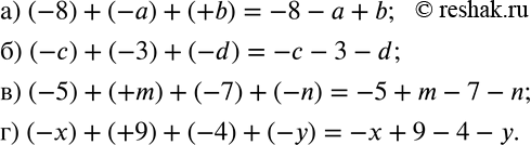
241. Составьте сумму из данных слагаемых, запишите ее со скобками и без скобок:
а)-8,-a,b;
б)-c,-3,-d;
в)-5,m,-7,-n;
г)-x,9,-4,-y.
*размещая тексты в комментариях ниже, вы автоматически соглашаетесь с пользовательским соглашением