Упр.446 ГДЗ Зубарева Мордкович 6 класс ФГОС (Математика)
Решение #1

Рассмотрим вариант решения задания из учебника Зубарева, Мордкович 6 класс, Мнемозина:
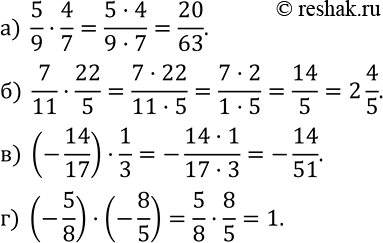
446. Вычислите:
а) 5/9•4/7;
б) 7/11•22/5;
в) (-14/17)•1/3;
г) (-5/8)•(-8/5).
*размещая тексты в комментариях ниже, вы автоматически соглашаетесь с пользовательским соглашением