Упр.662 ГДЗ Зубарева Мордкович 6 класс ФГОС (Математика)
Решение #1

Рассмотрим вариант решения задания из учебника Зубарева, Мордкович 6 класс, Мнемозина:
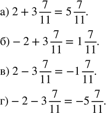
662. Вычислите:
а) 2+3 7/11;
б)-2+3 7/11;
в) 2-3 7/11;
г)-2-3 7/11.
*размещая тексты в комментариях ниже, вы автоматически соглашаетесь с пользовательским соглашением