Упр.16.24 ГДЗ Мордкович 9 класс (Алгебра)
Решение #1
Решение #2

Рассмотрим вариант решения задания из учебника Мордкович 9 класс, Мнемозина:
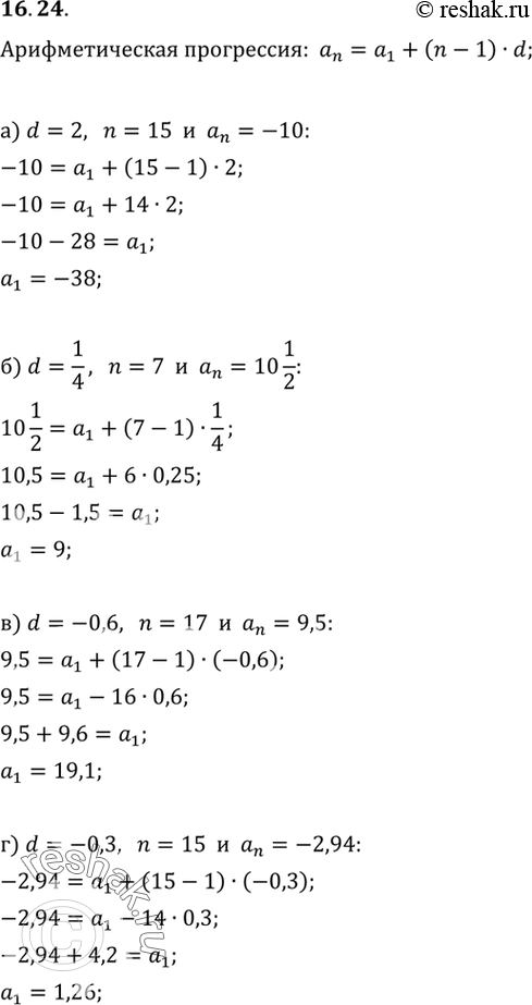
16.24. Дана конечная арифметическая прогрессия (аn). Найдите a1 если:
а) d = 2, n = 15, аn = -10;
б) d = 1/4, n = 7, ап = 10*1/2;
в) d = -0,6, n = 17, аn = 9,5;
г) d = -0,3, n = 15, аn = -2,94.
*размещая тексты в комментариях ниже, вы автоматически соглашаетесь с пользовательским соглашением