Упр.4.24 ГДЗ Мордкович 9 класс (Алгебра)
Решение #1
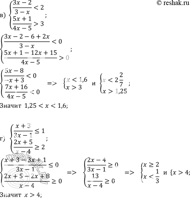
Решение #2

Рассмотрим вариант решения задания из учебника Мордкович 9 класс, Мнемозина:
4.24
*размещая тексты в комментариях ниже, вы автоматически соглашаетесь с пользовательским соглашением