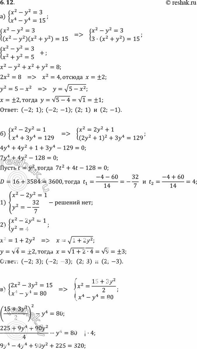
Упр.6.12 ГДЗ Мордкович 9 класс (Алгебра)
Решение #1
Решение #2

Рассмотрим вариант решения задания из учебника Мордкович 9 класс, Мнемозина:
6.12 а) система
x2-y2=3,
x4-y4=15;
б) система
x2-2y2=1,
x4+3y4=129;
в) система
2x2-3y2=15,
x4-y4=80;
г) система
x2+y2=10,
x4+y4=82.
*размещая тексты в комментариях ниже, вы автоматически соглашаетесь с пользовательским соглашением